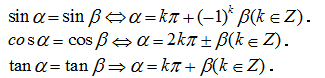
特殊的三角方程的通解

2014-05-13 10:13:38   来源:小熊教育网   点击:




上一篇:简单的三角方程的通解
下一篇:最简单的三角不等式及其解集