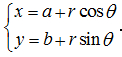
圆的参数方程

2014-05-14 10:28:55   来源:小熊教育网   点击:



 

上一篇:圆系方程
下一篇:圆的直径式方程