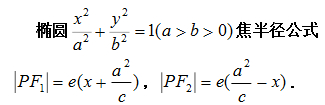
椭圆的焦半径方程

2014-05-14 10:51:36   来源:小熊教育网   点击:



 


上一篇:椭圆的参数方程
下一篇:椭圆的切线方程