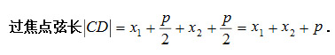
抛物线的过焦点弦长公式

2014-05-14 11:30:15   来源:小熊教育网   点击:





 
上一篇:抛物线的焦半径公式
下一篇:抛物线上的动点纵坐标