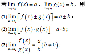
函数极限的四则运算法则

2014-06-10 10:58:21   来源:小熊教育网   点击:


       


上一篇:数列极限的四则运算法则
下一篇:两个重要的极限