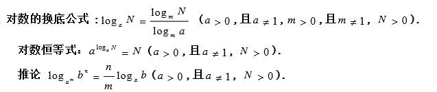
对数的换底公式以及恒等式

2015-08-05 09:16:15   来源:网络资源   点击:

上一篇:高中常见函数图像
下一篇:等差数列通项公式