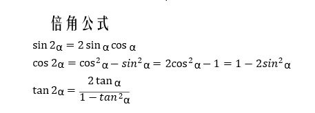
三角函数:倍角公式

2015-08-10 13:43:54   来源:   点击:

上一篇:三角函数:和角公式
下一篇:三角函数:和差化积