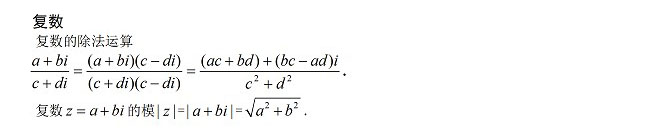
复数

2015-12-11 09:55:51   来源:网络资源   点击:

上一篇:概率统计
下一篇:椭圆周长计算公式

相关阅读: