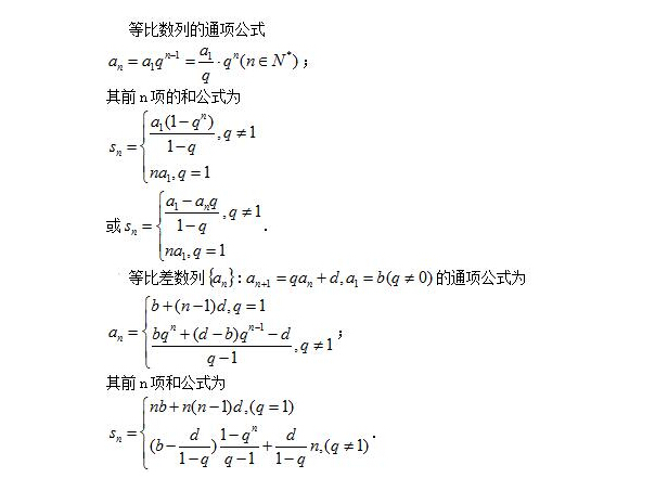
等比数列公式

2016-01-06 13:15:59   来源:网络资源   点击:

上一篇:2016高考早复习:高中数学公式大全
下一篇:等差数列的通项公式