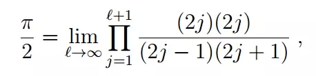
![]() 1655年,英国数学家约翰·沃利斯(John Wallis)出版了一本数学专著,其中他推导出一个公式,发现圆周率等于无穷个分数相乘的积。现在,罗切斯特大学的科学家们则有了另一重大发现,他们在氢原子能级的量子力学计算中发现了相同的公式。 “我们并没有刻意寻找沃利斯关于圆周率的公式,它完全是个意外惊喜,”罗切斯特大学的粒子物理学家卡尔·哈根(Carl Hagen)表示。在注意到量子力学课堂上给学生布置的习题集的解法中的有趣规律之后,哈根找到数学家塔马·弗里德曼(Tamar Friedmann)研究了一下,发现这一规律是沃利斯圆周率公式的另一种形式。 “这太出乎意外了,当我从氢原子方程中得到沃利斯公式时,我兴奋得手舞足蹈,”弗里德曼说道,“最特别之处在于,它在物理与数学之间找到了一条奇妙的关联。一个17世纪的纯数学公式竟然能用于描述300年后建立的物理体系,这简直是太神奇了,不是吗?” 科学家们在《数学物理杂志》(Journal of Mathematical Physics)上报道了这一发现。 在量子力学中,有一种计算技巧叫做“变分法”(variational approach):有些量子体系(如分子)的能量状态无法被精确计算,则可以通过变分法来近似计算。哈根当时正在给学生教授变分法,他想让学生将变分法应用到真实物体——氢原子上。氢原子是一类非常罕见的量子力学系统,其能级可被准确计算出来,因此,通过用变分法近似计算并将结果与精确解法得到的结果进行对比,学生们就能计算出近似方法的偏差。 ![]() 当哈根开始独自研究这一问题时,他立刻注意到一个规律。变分法的偏差对于氢原子基态是15%,对于第一激发态则是10%,随着激发态能级的不断增大,偏差也越来越小。这并不符合一般规律,因为变分法往往计算最低能级时最为准确。 哈根找到弗里德曼,想一起看看继续提高能量会有什么新发现。他们发现,变分法的极限接近于物理学家尼尔斯·玻尔(Niels Bohr)在20世纪初期所提出的氢原子模型,其中电子轨道被描述为正圆形。这也是玻尔的对应原理所产生的自然结果——该原理认为对于大半径的轨道,量子系统的行为可用经典物理学来描述。 “在能量较低的轨道,电子的运动轨迹是模糊而弥散的,”哈根解释道,“在更高的激发态,轨道被限定在更加清楚明确的区域内,且半径的不确定性也降低了。” ![]() 18世纪沃利斯发现的经典圆周率公式,图片来源:University of Rochester
随着能量的增加,从变分解的极限公式里,哈根和弗里德曼找到了沃利斯的圆周率公式。 量子力学理论在20世纪初期诞生,而沃利斯圆周率公式已经存在了数百年,但这两者之间的内在关联直到今天才被发现。“大自然竟将这个秘密藏了近80年,”弗里德曼说道,“我很开心我们最终还是发现了它。” 来源 美国物理联合会(AIP) 翻译 徐丽 审校 丁家琦 |




