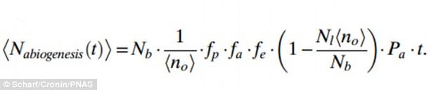
![]() ![]() ![]() 据国外媒体报道,如果能在其它星球上找到外星生命,将彻底改变人类对自己在宇宙中地位的看法。但是,虽然我们已经在宇宙中搜寻了数十年之久,科学家目前仍未找到存在外星生命的决定性证据。不过,两名科学家近日提出了一个公式,他们希望该公式能帮助宇宙生物学家识别出能够孕育生命的星球。 这两名科学家表示,通过寻找一系列的条件和化学成分,他们可以利用这些非生命物质计算出某个星球上能够出现生命的几率。在这些条件中,最关键的便是一个星球上“生命组件”的数量,也就是构成一切生命体的功能性化学成分的数量。这些物质存在于大气中、地表上、海洋中、或者星球的上层地壳中。 科学家还指出,这些物质必须数量合适,并且在经历了足够长的时间之后,生命才会自发地出现。这些星球还必须存在于中央恒星周围的“宜居带”中,即温度处在一个合适的范围内,水才能保持液态。星球上还必须有足够的能量,以确保生命所需的化学物质能够以具备生物学意义的方式组装起来。 不过他们还补充说,这些行星可能会通过彗星撞击的方式与其它行星交换生命所需的物质,这就进一步增加了部分恒星周围存在生命的可能性。该公式是哥伦比亚大学的宇宙生物学家凯勒布·沙夫博士(Dr Caleb Scharf)和格拉斯哥大学的化学家勒罗伊·克罗宁教授(Leroy Cronin)共同提出的。他们认为该公式能帮助科学家分辨出最有可能孕育生命的行星。 ![]() 沙夫博士指出:“该公式背后的理念是,虽然我们一直在说某颗行星‘宜居’或者‘不宜居’,但我们实际的意思是说这颗行星是否能‘维持’生命,而不是能否‘诞生’生命,显然后者要复杂得多,也神秘得多。” “我们提出这个公式的目的不仅是为了解开这个谜题,还为了帮助我们从行星的特性角度出发,思考生命诞生的原理。”“简单来说,这个公式为我们提供了一种将微观与宏观联结起来的方式——小到被视作生命起源的分子化学,大到行星的宏伟规模和复杂程度。” 他们的研究工作以德雷克公式(Drake Equation)为基础。德雷克公式由无线电天文学家弗兰克·德雷克博士(Dr Frank Drake)提出,对银河系中可能存在的高等文明数量进行了估计。而本文介绍的新公式关注的则是简单的生命形式在某个星球上出现的几率。 在过去的数十年间,科学家一直在寻找其它星球上存在生命的迹象。从上世纪60年代起,“搜寻地外文明”项目(SETI)便一直在对来自外星文明的无线电传输进行监测。在第一次发现了太阳系之外的行星之后,科学家更是在努力寻找这些星球能否孕育生命的线索。 目前,科学家已经找到了8颗表面存在液态水的岩质行星,以及25颗位于宜居带中的行星。有些行星的大气中还含有氧和碳,但仅仅有这些元素还不足以证明该星球上有生命存在。但沙夫博士和克罗宁教授认为,他们的研究工作将能够帮助科学家确定哪些行星上可以孕育外星生命。 ![]() 通过寻找完成公式所需的每种化学元素,天文学家能够在这一过程中研究出在外星球大气中寻找这些元素的新方法。沙夫博士表示:“将来我们可以利用该公式或者它的变形形式,把各种元素的数量填进这个公式中,如水、温度和能量等,从而评估其它行星是否具有孵化生命的潜质。” “这个公式还告诉我们,我们应该去寻找那些邻近行星可能会通过彗星与它们交换化学物质的行星,因为这可能会增加行星上出现生命所需的复杂化学物质的几率。”“因此,我们也许应该把目光投向有多颗宜居行星聚集的区域,就像一个‘行星村庄’一样。”他还补充说:“我认为我们已经研发出了不少相关技术。” “我们希望自己能够测量外星球的温度,分析它们的化学组成,并了解任何地外行星的发展历史——我们已经在这些领域着手努力了。”“在接下来的几年中,下一代望远镜和太空望远镜还将为我们传回更多的线索。” “最令人激动的是,如果我们在任何新行星上探测到了生命的迹象,这个公式将帮助我们估算生命起源的可能性,而这反过来又将帮助我们弄清生命是如何在宇宙各处出现的。”不过,研究人员警告称,虽然地球上的生物大多数是碳基生命,但其它星球上的生命采取的并不一定是这样的形式。 他们在研究结果中写道:“当今的生命并不一定体现了生物化学发展早期的全部细节。今天的生命更有可能体现了一系列早期化学成分在经历了数十亿年的进化之后的结果。这些化学成分的复杂程度都有所降低,因此也增加了它们在短时间内出现的几率。” “这样看来,我们也许应该将这些化学成分进一步打破,将目光转向原材料的数量——即原子的数量。”(叶子) |






