

培养学生的空间观念、空间想像力和逻辑思维能力等,这些一直是数学教育的目标,也是高考数学选拔人才重要考核标准之一。在众多数学知识当中,空间几何体在培养空间想象力等方面有着其它学习内容所无法替代的独特作用,因而成为历年高考数学的重点和难点。
空间几何体的组合问题在近几年全国各地的高考试题中频频出现,此类题型多以球体与多面体的组合为载体,考查几何体中距离、角、表面积、体积的计算以及空间想像力和思维能力。
空间几何体有关的试题具有题目新颖、构思巧妙等特点,题型会涉及到选择题、填空题和解答题,相当丰富,所以一直深受高考命题老师的青睐。考生要想正确解决此类问题,关键是在于首先要弄清图形的内在联系,以及关键图形的得到过程,如求几何体的面积、体积、角等问题的关键是寻找几何体的边长与球半径的关系,这往往需要作出相应的辅助线。
解决空间几何体有关的试题传统方法是需要构造空间辅助线、面,经过严密的逻辑推理进行论证,而一些题型则可以通过建立坐标系运用向量法则可以把"定性"问题转化为"定量"问题来研究,从而降低了解题思维量,优化了解题方法。
今天我们一起通过对近几年高考试题进行研究,归纳出高考对空间几何体考查的几个特点,希望能帮助同学们提升高考复习效率。
空间几何体有关的试题分析,典型例题1:
如图,平行四边形ABCD中,AB⊥BD,AB=2,BD=√2,沿BD将△BCD折起,使二面角A-BD-C是大小为锐角α的二面角,设C在平面ABD上的射影为O.
(1)当α为何值时,三棱锥C-OAD的体积最大?最大值为多少?
(2)当AD⊥BC时,求α的大小.


解决与球有关的“切”、“接”问题,一般要过球心及多面体中的特殊点或过线作截面,把空间问题转化为平面问题,从而寻找几何体各元素之间的关系。
注意求体积的一些特殊方法:分割法、补体法、转化法等,它们是解决一些不规则几何体体积计算常用的方法,应熟练掌握。
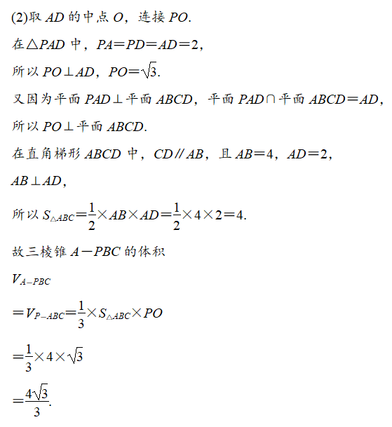
空间几何体有关的试题分析,典型例题2:
如图,在四棱锥P-ABCD中,底面是直角梯形ABCD,其中AD⊥AB,CD∥AB,AB=4,CD=2,侧面PAD是边长为2的等边三角形,且与底面ABCD垂直,E为PA的中点.
(1)求证:DE∥平面PBC;
(2)求三棱锥A-PBC的体积.


此外,近几年的高考数学题考查了空间几何体的三视图和直观图,解决这类问题的关键是通过三视图把握准几何体的类型和边角关系。以三视图为载体的几何体的表面积问题,关键是分析三视图确定几何体中各元素之间的位置关系及数量;多面体的表面积是各个面的面积之和;组合体的表面积注意衔接部分的处理;旋转体的表面积问题注意其侧面展开图的应用。
考生在高考复习中,还要注意这一点:近几年的高考数学会通过空间几何体来考查合情推理(归纳推理、类比推理)和演绎推理,解决这类问题的关键是首先弄清平面中已知条件的来路,然后用同样的方法去探究空间的结论,一般是由平面的点、线、边长、面积类比空间的线、面、面积、体积。