
选考内容
(一) 坐标系与参数方程
1. 坐标系
(1)理解坐标系的作用.
(2)了解在平面直角坐标系伸缩变换作用下平面图形的变化情况.
(3)能在极坐标系中用极坐标表示点的位置,理解在极坐标系和平面直角坐标系中表示点的位置的区别,能进行极坐标和直角坐标的互化.
(4)能在极坐标系中给出简单图形的方程.通过比较这些图形在极坐标系和平面直角坐标系中的方程,理解用方程表示平面图形时选择适当坐标系的意义.
(5)了解柱坐标系、球坐标系中表示空间中点的位置的方法,并与空间直角坐标系中表示点的位置的方法相比较,了解它们的区别.
2. 参数方程
(1)了解参数方程,了解参数的意义.
(2)能选择适当的参数写出直线、圆和圆锥曲线的参数方程.
(3)了解平摆线、渐开线的生成过程,并能推导出它们的参数方程.
(4)了解其他摆线的生成过程,了解摆线在实际中的应用,了解摆线在表示行星运动轨道中的作用.
(二) 不等式选讲
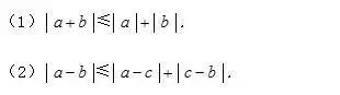
1. 理解绝对值的几何意义,并能利用含绝对值不等式的几何意义证明以下不等式:

(3) 会利用绝对值的几何意义求解以下类型的不等式:

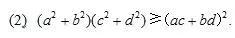
2. 了解下列柯西不等式的几种不同形式,理解它们的几何意义,并会证明.
(1) 柯西不等式的向量形式:


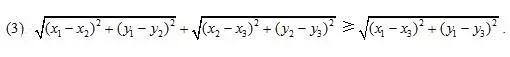
(此不等式通常称为平面三角不等式.)
3. 会用参数配方法讨论柯西不等式的一般情形:

4. 会用向量递归方法讨论排序不等式.
5. 了解数学归纳法的原理及其使用范围,会用数学归纳法证明一些简单问题.
6. 会用数学归纳法证明伯努利不等式:

了解当n为大于1的实数时伯努利不等式也成立.
7. 会用上述不等式证明一些简单问题.能够利用平均值不等式、柯西不等式求一些特定函数的极值.
8. 了解证明不等式的基本方法:比较法、综合法、分析法、反证法、放缩法.