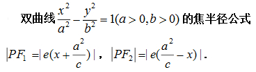
双曲线的焦半径公式

2014-05-14 10:57:23   来源:小熊教育网   点击:




 
上一篇:椭圆的切线方程
下一篇:点与双曲线的位置关系