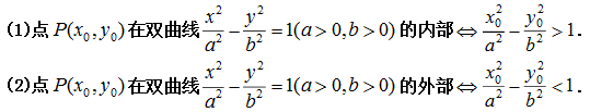
点与双曲线的位置关系

2014-05-14 11:01:50   来源:小熊教育网   点击:



 


上一篇:双曲线的焦半径公式
下一篇:双曲线上一点处的切线方程